Kesetimbangan Kimia
Materi : Kesetimbangan Kimia
Kelas : XI ipa 5 dan ipa 1
Jumlah pertemuan : 2x pertemuan ( 4 Jp )
Tanggal : 22 November 2019
Kelas : XI ipa 5 dan ipa 1
Jumlah pertemuan : 2x pertemuan ( 4 Jp )
Tanggal : 22 November 2019
A. PENGERTIAN KESETIMBANGAN KIMIA
Untuk memahami pengertian kesetimbangan, dapat dilihat dari asal katannya. Kesetimbangan berasal dari kata setimbang. Dalam bahasa Indonesia setimbang dapat diartikan sebagai suatu kedaan dimana dua benda memiliki berat dan kedudukan serta berada dalam posisi yang sama. Sedangkan berdasarkan ilmu kimia kimia setimbang merupakan dua proses memiliki keadaan yang berlawanan arah. Proses tersebut berlangsung secara terus menerus dan bersifat simultan. Namun, pada kesetimbangan tersebut tidak terdapat perubahan yang dapat diamati dan di ukur.
Berdasarkan pengertian diatas maka kesetimbangan kimia dapat diartikan sebagai suatu keadaan reaksi bolak-balik dengan kesamaan laju reaktan dan laju terbentuknya produk serta konsentrasinya tetap. Reaksi tersebut terjadi secara bolak balik (memiliki dua arah yang berbeda) dan berlangsung secara terus menerus.
Kp = Kx P∆n, Dengan P adalah tekanan total
B. CIRI – CIRI KESETIMBANGAN KIMIA
Untuk mengetahui bagaimanakah keadaan setimbang suatu reaksi, yang harus dilakukan adalah mengetahui ciri-ciri keadaan setimbang. Ciri-ciri keadaaan setimbang adalah sebagai berikut:
- Reaksi terjadi dalam tempat atau wadah tertutup dengan suhu dan tekanan yang tetap.
- Merupakaan reaksi yang bersifat dinamis (terjadi secara terus menerus).
- Reaksi terjadi dalam dua arah yang berlawanan.
- Laju reaksi ke reaktannya sama dengan laju reaksi ke produknya.
- Produk dan reaktan memiliki konsentrasi yang sama.
- Merupakan reaksi yang terjadi secara mikroskopik (reaksi pada tingkat partikel zat).
C. TETAPAN KESETIMBANGAN KIMIA DAN DERAJAT DISOSIASI
Hukum Kesetimbangan Kimia dikemukakan oleh Guldberg dan Waage pada tahun 1866. Hukum kesetimbangan kimia ini dikenal juga dengan istilah Hukum Aksi Massa. Dalam hukum tersebut dikemukakan bahwa pada suhu dan tekanan tertentu perbandingan hasil kali konsentrasi zat-zat disebelah kanan persamaan reaksi akan sama dengan dengan konsentrasi zat-zat sebelah kiri yang masing-masing dipangkatkan dengan koefesien reaksinya adalah tetap. Zat-zat di sebelah kanan adalah zat hasil reaksi sedangkan zat-zat di sebelah kiri adalah zat pereaksi.
Contoh reaksi:
Untuk menentukan ukuran seberapa jauh suatu reaksi berlangsung (K), digunakan persamaan berikut:
Harga K menunjukkan banyaknya hasil reaksi yang terbentuk. Tetapan K ini akan membentuk tetapan kesetimbangan (K) sehingga terbentuk Kc,Kp dan Kx. Kc menyatakan kesetimbangan molar (larutan dan gas), Kp menyatakan kesetimbangan tekanan parsial (gas) dan Kx menyatakan kesetimbangan dalam frasi mol (larutan dan gas).
1. Kc (konsentrasi molar)
Persamaan konsentrasi molar yaitu:
2. Kp (tekanan Parsial)
Persamaan yang digunakan untuk menmentukan tekanan parsial adalah:
3. Kx (fraksi mol)
Untuk menentukan fraksi mol suatu reaksi digunakaan persamaan berikut:
Kp dan Kc memiliki hubungan, hubungan Kp dan Kc tersebut ditentukan menggunakan persamaan berikut:
∆n merupakan hasil pengurangan antara jumlaah mol gas hasil reaksi dengan jumlah mol gas reaktan.
Catatan:
Jika :
Sedangkan hubungan antara Kp dan Kx dinyatakan dengan persamaan berikut ini:
Derajat disosiasi merupakan harga zat-zat pereaksi. Derajat disosiasi disebut juga dengan istilah derajaat penguraian. Simbol yang digunkan untuk menyatakan derajat disosiasi adalah α, dengan persamaan sebagai berikut:
D. PERGESERAN KESETIMBANGAN KIMIA
Dalam reaksi kimia ternyata terjadi pergeseran kesetimbangan. Pergeseran kesetimbangan kimia ini terjadi karena pengaruh beberapa faktor. Faktor-faktor yang menyebabkan pergeseran kesetimbangan kimia adalah sebagai berikut:
1. Konsentrasi zat
Pada reaksi kimia jika konsentrasi suatu zat ditambah atau dikurangi, akan menyebabkan pergeseran pada kesetimbangannya. Jika konsentrasinya ditambah, kesetimbangan akan bergerak menjauhi zat yang ditambahkan konsentrasinya. Begitu pula sebaliknya, jika konsentrasi zat dikurangi maka kesetimbangan akan bergerak mendekati zat yang dikurangi konsentrasinya.
2. Tekanan dan volume
Tekanan dan volume mempengaruhi kesetimbangan kimia. Secara sederhana dapat dijelaskan bahwa tekanan dan volume merupakan dua hal yang berbanding terbalik dalam kesetimbangan kimia. Namun keduanya dapat menyebabkan pergeseran kesetimbangan kimia. Pengaruh tekanaan dan volume terhadap kesetimbangan yaitu:
- Jika pada suatu sistem tekanan ditambahkan dan volumenya diperkecil, akan menyebabkan reaksi kesetimbangan mengalami pergeseran ke arah zat yang jumlah molekulnya lebih kecil, Pergeseran terjadi kearah kanan.
- Jika pada suatu sistem tekanan diperkecil dan volume diperbesar akan menyebabkan reaksi kesetimbangan bergeser ke arah yang jumlah molekulnya lebi besar, Pergeseran terjaadi kearah kiri.
3. Temperatur
Temperatur akan menyebabkan pergeseran kesetimbangan. Temperatur ini berkaitan dengan kalor, sehingga arah pergeseran kesetimbangan kimia adalah pada zat yang menerima (membutuhkan) kalor dan zat yang melepaskan kalor. Jika temperatur dinaikkan pergesaran kesetimbangan kimia akan menuju ke arah reaksi yang membutuh kalor. Sebaliknya, jika temperatur diperkecil, pergeseraan kesetimbangan kimia akan menuju ke arah reaksi yang melepaskan kalor.
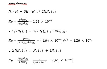
E. PERHITUNGAN DAN CONTOH SOAL KESETIMBANGAN KIMIA
Kesetimbangan kimia merupakan salah satu materi yang sulit untuk dipahami. Agar dapat memahami materi tersebut maka perhatikan beberapa contoh soal berikut:











Komentar
Posting Komentar